CaltechTHESIS
A Caltech Library Service

Limits and Tradeoffs in the Control of Autocatalytic Systems

Citation

Chandra, Fiona Adriani (2013) Limits and Tradeoffs in the Control of Autocatalytic Systems. Dissertation (Ph.D.), California Institute of Technology. doi:10.7907/Z1BQ-ZX85. https://resolver.caltech.edu/CaltechTHESIS:06032013-143158080

Abstract

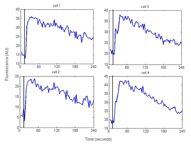
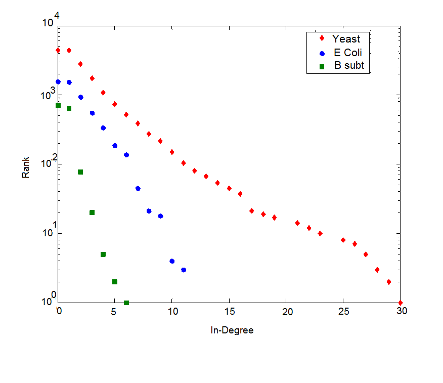
Despite the complexity of biological networks, we find that certain common architectures govern network structures. These architectures impose fundamental constraints on system performance and create tradeoffs that the system must balance in the face of uncertainty in the environment. This means that while a system may be optimized for a specific function through evolution, the optimal achievable state must follow these constraints. One such constraining architecture is autocatalysis, as seen in many biological networks including glycolysis and ribosomal protein synthesis. Using a minimal model, we show that ATP autocatalysis in glycolysis imposes stability and performance constraints and that the experimentally well-studied glycolytic oscillations are in fact a consequence of a tradeoff between error minimization and stability. We also show that additional complexity in the network results in increased robustness. Ribosome synthesis is also autocatalytic where ribosomes must be used to make more ribosomal proteins. When ribosomes have higher protein content, the autocatalysis is increased. We show that this autocatalysis destabilizes the system, slows down response, and also constrains the system’s performance. On a larger scale, transcriptional regulation of whole organisms also follows architectural constraints and this can be seen in the differences between bacterial and yeast transcription networks. We show that the degree distributions of bacterial transcription network follow a power law distribution while the yeast network follows an exponential distribution. We then explored the evolutionary models that have previously been proposed and show that neither the preferential linking model nor the duplication-divergence model of network evolution generates the power-law, hierarchical structure found in bacteria. However, in real biological systems, the generation of new nodes occurs through both duplication and horizontal gene transfers, and we show that a biologically reasonable combination of the two mechanisms generates the desired network.

Item Type: Thesis (Dissertation (Ph.D.))
Subject Keywords: glycolysis, biology, autocatalysis, ribosome synthesis, transcription network, degree distribution, bode integral, control theory, protein synthesis, mathematical model
Degree Grantor: California Institute of Technology
Division: Engineering and Applied Science
Major Option: Bioengineering
Awards: Demetriades-Tsafka-Kokkalis Prize in Biotechnology or Related Fields, 2011.
Thesis Availability: Public (worldwide access)
Research Advisor(s):
  • Doyle, John Comstock
Thesis Committee:
  • Murray, Richard M. (chair)
  • Winfree, Erik
  • DiStefano, Joseph
  • Doyle, John Comstock
Defense Date: 29 May 2013
Record Number: CaltechTHESIS:06032013-143158080
Persistent URL: https://resolver.caltech.edu/CaltechTHESIS:06032013-143158080
DOI: 10.7907/Z1BQ-ZX85
Default Usage Policy: No commercial reproduction, distribution, display or performance rights in this work are provided.
ID Code: 7825
Collection: CaltechTHESIS
Deposited By: Fiona Chandra
Deposited On: 06 Jun 2013 22:33
Last Modified: 04 Oct 2019 00:01

Thesis Files

[img]
Preview
PDF (Fiona Chandra - Thesis) - Final Version
Creative Commons Attribution .

2MB
[img]
Preview
Image (PNG) (Figure 2.9) - Final Version
Creative Commons Attribution .

18kB
[img]
Preview
Image (PNG) (Figure 2.7) - Final Version
Creative Commons Attribution .

12kB
[img]
Preview
Image (PNG) (Figure 3.7) - Final Version
Creative Commons Attribution .

27kB
[img]
Preview
Image (PNG) (Figure 2.5) - Final Version
Creative Commons Attribution .

43kB
[img]
Preview
Image (PNG) (Figure 2.6) - Final Version
Creative Commons Attribution .

40kB
[img]
Preview
Image (PNG) (Figure 2.10) - Final Version
See Usage Policy.

11kB
[img]
Preview
Image (PNG) (Figure 3.9) - Final Version
Creative Commons Attribution .

29kB
[img]
Preview
Image (PNG) (Figure 2.1) - Final Version
Creative Commons Attribution Non-commercial .

18kB
[img]
Preview
Image (PNG) (Figure 2.3) - Final Version
Creative Commons Attribution Non-commercial No Derivatives .

44kB
[img]
Preview
Image (PNG) (Figure 2.8) - Final Version
Creative Commons Attribution Non-commercial .

20kB
[img]
Preview
Image (PNG) (Figure 5.2) - Final Version
Creative Commons Attribution Non-commercial .

22kB

Repository Staff Only: item control page